Zu Aufgabe a)
Fals diese so lautet:
sin(2x) + 2 cos^2(x)= 2
Es gilt allgemein:
sin(2x) = 2 sin(x) *cos(x)
---------->
2 sin(x) *cos(x) + 2 cos^2(x)= 2 |:2
sin(x) *cos(x) + cos^2(x)= 1
cos^2(x) +sin^2(x)=1 allgemein
cos^2(x) =1 - sin^2(x)
sin(x) cos(x) +1 -sin^2(x)=1 |-1
sin(x) cos(x) -sin^2(x)=0
sin(x)(cos(x) -sin(x))=0
Satz vom Nullprodukt:
1.) sin(x)=0 ----->x_1 = k*π ; k∈ Z
2,) cos(x) -sin(x)=0 | -cos(x)
-sin(x)= -cos(x) |*(-1)
sin(x)=cos(x) | :cos(x)
tan(x)=1 → x_2 = π/4 +k*π ,k∈ Z
-------------------------------------------------------------------------------------------
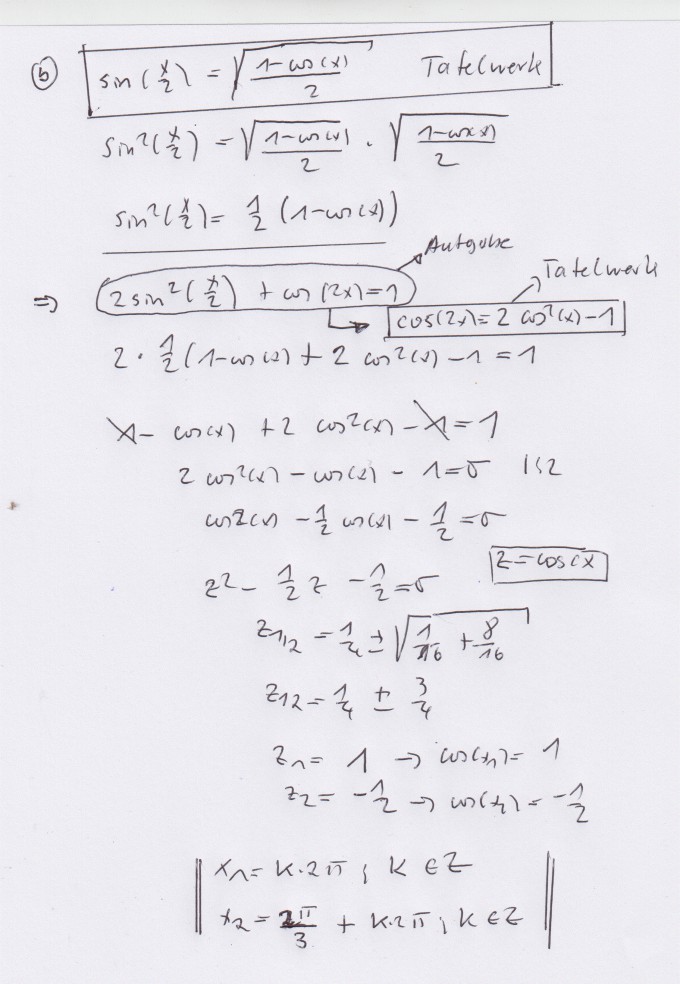
Zu Aufgabe b)
siehe Anhang
Zu Aufgabe c)
cox(2x) ausklammern
------>
cos(2x) ( cos^2(x) +1/4)=0
-------->Satz vom Nullprodukt:
1.) cos(2x)=0
2.) cos^2(x) +1/4=0