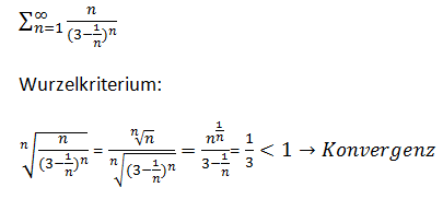
∑ ((n / (3 - 1/n)^n)
Aufgabenstellung: Weisen Sie schlüssig nach, dass die nachfolgend gegebene Reihe konvergiert:

Erklärung zum letzten Schritt:
1/n wird bei n-> ∞ zu 0
-> eine Basis mit 0 im Exponenten wird zu 1
-> 3 - 0 = 3
Ist meine Lösung "schlüssig" (wie es in der Aufgabe gefordert ist), oder fehlt zur vollständigen Lösung noch etwas?