hänge momentan an einer Mathe Aufgabe, dessen Typ von Aufgabe wir heute das erste Mal bekommen haben.
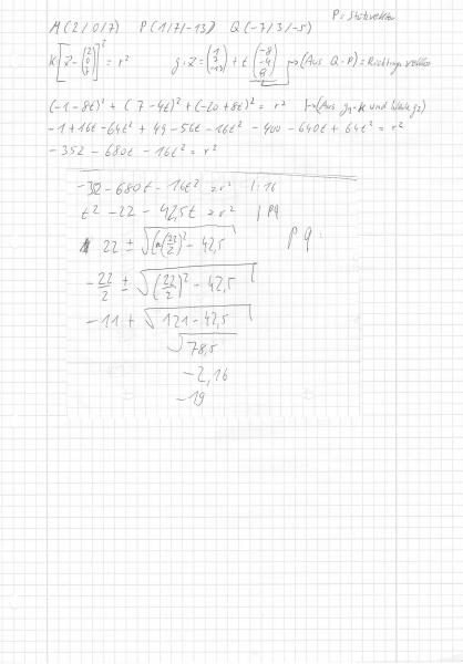
Die Fragestellung lautet: Wie ist der Radius der Kugel um M(2/-1/5) zu wählen, damit die Gerade g:x:(3/-9/10)+t (1/4/-1) die Kugel berührt?
Ich habe, wie auf dem Bild unten zu sehen ist, zuerst die Kugelgleichung als auch den Richtungsvektor bestimmt. Daraufhin die quadratische Gleichung aufgeschrieben.
Nun habe ich erstmal auf einen anderen Zettel versucht mit der PQ-Formel weiter zu rechnen. Jedoch ist das Ergebnis glaube ich nicht richtig. Wie hätte ich weiter rechnen müssen bzw. ist das hervorgegangene richtig?
Bin echt kein Mathe Genie aber in zwei Wochen schreiben wir unsere Klausur und die muss unbedingt gut werden. Deshalb würde ich mich für hilfreiche Antworten bzw. mit der weiterrechnung mich sehr freuen :)
und weiterhin einen angenehmen Tag.
