
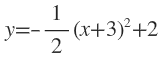
beschreibt eine ...
... nach unten geöffnete
... mit 1/2 gestreckte (also gestauchte)
... um 3 nach links verschobene und
... um 2 nach oben verschobene Parabel.
Die Frage nach "der" Tangente macht allerdings nur dann Sinn, wenn auch bekannt ist, an welchem Punkt die Tangente bestimmt werden soll.
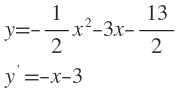
Hier noch einmal die Gleichung (etwas umgestellt) und die dazu passende Ableitung

Mit der Ableitung bestimmst du die Steigung an jedem Punkt abhängig von x.
Für die Tangent brauchst du dann nur noch den y-Achsenabschnitt zu berechnen.