Hab mir mal den Spaß gemacht und versucht, eine (von vielen) allgemeinen Lösungen für die Berechnung der Schnittgeraden g zweier Ebenen zu bestimmen.
Gegeben seine die Ebenengleichungen E1 und E2 mit:
E1 : a * x1 + b * x2 + c * x3 = G
E2 : d * x1 + e * x2 + f * x3 = H
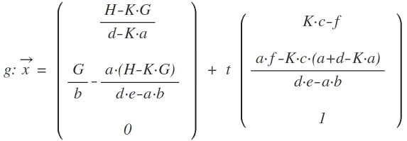
Setze K = e / b
Die Schnittgerade hat dann z.B. die Form:

Vielleicht kann man das auch noch etwas vereinfachen ... ?