In einem Würfel sind alle Seiten gleich lang.
Das Volumen des Würfels ergibt sich, indem du 3 Seiten miteinander multiplizierst: a*a*a = a³ = V
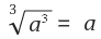
Um also vom Volumen auf die Seitenlänge (bzw. "Kantenlänge") zu kommen, musst du das Potenzieren rückgängig machen. Also von a³ auf a kommen.
Dies geschieht mit der 3. Wurzel:

Das Volumen V ist a³, du könntest also genausogut schreiben:

@GunShip: Alle Seiten im Würfel sind gleich lang, sonst heißt der Körper nicht mehr Würfel sondern "Quader" :)