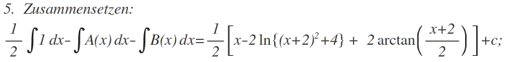
Antwort zu 3.7:
Im Folgenden wird der Term umgeformt und auf die Integration elementarer Funktionen zurückgeführt.
Es werden verwendet:
* Polynomdivision
* Substitutionsregel: h(x)=t, h'(x)dx=dt
* f'(x)=1/x -> f(x)=ln(x)
* f'(x)=1/(1+x^2) -> f(x)=arctan(x)
Die Integrationskonstante wird erst am Schluss hinzugefügt um den Schreibaufwand zu verringern.



