Hi
a) Gib eine rekursive und eine explizite Darstellung des Weges einer Halbschwingung an.

b) Welchen Weg legt das Pendel bei 10,20, und n halbschwingungen zurück?

m=10; bg,10 ≈ 4,3114m;
m=20; bg,20 ≈ 5,5957m;
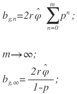
c) Welchen gesamtweg legt der pendelkörper zurück?

s. geometrische Reihe:
bg,∞ = 2*π;
Bitte prüfe alles noch mal. Sollte soweit stimmen, garantieren kann ich's nicht.
lg JR