Hallo Foru m Mitglieder,
ich bin mal wieder an eine Äquivalenzumformung im Königsberger gestoßen, von der ich nicht einsehen kann, wie sie gemacht wurde.
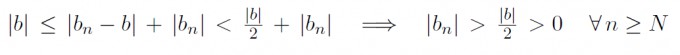
Hier ist die Textstelle:
Es geht dabei um den Beweis von folgender Aussage:
Wie kommt man nun auf den rot markierten Teil. Mein eigener Ansatz wäre:

Aber das stimmt ja nicht mit dem Königsberger überein.
Ich würde mich sehr freuen, wenn ihr mir einen kleinen Tipp geben könntet.
LG
Orbi