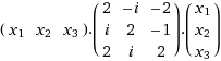
Es soll überprüft werden ob folgender Vektorraum über ℂ mit der angegebenen Sesquilinearform zum Skalarproduktraum wird.
ℂ^{3x1} über ℂ mit
$$ <x,y> = \bar{x}^{tr} * \begin{pmatrix} 2 & -i & -2 \\ i & 2 & -i \\ 2 & i &2 \end{pmatrix} *y $$
für x,y ∈ ℂ^{3x1}
Ich habe zunächst versucht ein $$x=(x_1,x_2,x_3)$$ zu finden und die pos. definitheit zu widerlegen..

= 
= 
bedeutet es hier dass die pos. definitheit stets erfüllt ist?