0 Daumen
1,7k Aufrufe

Gegeben sind 4 Gleichungen

Bild Mathematik

Bekannt sind a,b, r1, r2, y_versatz
Gesucht werden : xm, ym

Vorschlag zur Vorgehensweise
1.Gleichung nach x umstellen
x in die 2.Gleichung einsetzen
3.Gleichung nach x umstellen
x in die 4.Gleichung einsetzen

Es entstehen 2 Gleichungen mit den Unbekannten  xm, ym
Diese dann entsprechend umstellen

Wer kanns zu Fuß oder mit einem Matheprogramm lösen ?

Avatar von 123 k 🚀

Hier die 4 Gleichungen als Text z.B. zur Übernahme in
ein Matheprogramm

- ( b * sqrt ( (a-x)*(a+x)) ) / a = ym + sqrt(r1^2 - ( x - xm )^2 )
( b * x ) / ( a *  sqrt ( (a-x)*(a+x) )) = - ( 2 * x - xm * 2 ) / ( 2 * sqrt(r1^2 - ( x - xm )^2 ))

- ( a*y_versatz - b * sqrt( a^2-x^2)) / a = ym + sqrt( r2^2 - ( x - xm )^2 )
- (b*x) / (a* sqrt(a^2-x^2)) = - (2*x - xm*2) / ( 2 * sqrt( r2^2 - ( x - xm )^2 ) )

Hinweis :
das x in der 1. und 2. Gleichung ist derselbe Wert
das x in der 3. und 4. Gleichung ist derselbe Wert

deshalb wie oben beschrieben vorgehen.

Ich habe in der 3. und 4.Gleichung x durch y ersetzt
Damit ist es mathematisch korrekt.

- ( b * sqrt ( (a-x)*(a+x)) ) / a = ym + sqrt(r12 - ( x - xm )2 )
( b * x ) / ( a *  sqrt ( (a-x)*(a+x) )) = - ( 2 * x - xm * 2 ) / ( 2 * sqrt(r12 - ( x - xm )2 ))

- ( a*y_versatz - b * sqrt( a2-y2)) / a = ym + sqrt( r22 - ( y - xm )2 )
- (b*y) / (a* sqrt(a2-y2)) = - (2*y - xm*2) / ( 2 * sqrt( r22 - ( y - xm )2 ) )

Die 4 Gleichungen stimmen.

1 Antwort

+1 Daumen

Schau mal, ob ich das richtig umgesetzt habe:

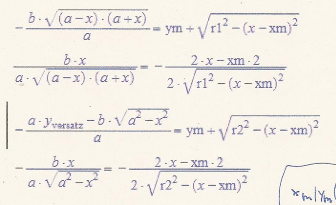
I:$$ -\frac{ b \cdot \sqrt { (a-x)(a+x)} } a = y_m + \sqrt{r_1^2 - ( x - x_m )^2}$$
II:$$ \frac{ b \cdot x}{a \cdot \sqrt { (a-x)(a+x)} }  = - \frac{( 2 \, x - x_m \cdot 2 )}{2 \cdot \sqrt{r_1^2 - ( x - x_m )^2} }$$
III:$$ -\frac{a \cdot y_{Versatz}- b \cdot \sqrt { a^2-x^2  } } a = y_m + \sqrt{r_2^2 - ( x - x_m )^2}$$ 
IV:$$ -\frac{ b \cdot x}{a \cdot \sqrt { a^2-x^2   } }  = - \frac{( 2 \, x - x_m \cdot 2 )}{2 \cdot \sqrt{r_2^2 - ( x - x_m )^2} }$$

---

und nun einige triviale Aufräumarbeiten:

I:$$ -\frac{ b \cdot \sqrt { a^2-x^2 } } a = y_m + \sqrt{r_1^2 - ( x - x_m )^2}$$
II:$$ \frac{ b \cdot x}{a \cdot \sqrt { a^2-x^2  } }  = - \frac{ x - x_m }{\sqrt{r_1^2 - ( x - x_m )^2} }$$
III:$$ -y_{V} +\frac{ b \cdot \sqrt { a^2-x^2  } } a = y_m + \sqrt{r_2^2 - ( x - x_m )^2}$$ 
IV:$$ -\frac{ b \cdot x}{a \cdot \sqrt { a^2-x^2  } }  = - \frac{ x - x_m }{\sqrt{r_2^2 - ( x - x_m )^2} }$$

stimmt das bei III mit den Vorzeichen? Ist das so gewollt mit dem Minus im Minus?

Avatar von

Besten Dank schon einmal vorab.
Ich schaue mir deine Antwort morgen früh einmal an.

Umstellung exemplarisch  mit Gleichung I:
$$ -\frac{ b \cdot \sqrt { a^2-x^2 } } a = y_m + \sqrt{r_1^2 - ( x - x_m )^2}$$
$$ - b \cdot \sqrt { 1-\left( \frac xa\right) ^2 } = y_m + \sqrt{r_1^2 - ( x - x_m )^2}$$
$$  -b \cdot \sqrt { 1-\left( \frac xa\right) ^2 } -y_m =  \sqrt{r_1^2 - ( x - x_m )^2}$$
$$   \sqrt { 1-\left( \frac xa\right) ^2 } +\frac {y_m}b = - \frac{\sqrt{r_1^2 - ( x - x_m )^2}}b$$
$$  \left( \sqrt { 1-\left( \frac xa\right) ^2 } +\frac {y_m}b \right)^2= - \frac{r_1^2 - ( x - x_m )^2}{b^2}$$
$$  \left( \sqrt { 1-\left( \frac xa\right) ^2 } +\frac {y_m}b \right)^2=  \frac{ ( x - x_m)^2 }{b^2}-\frac{ r_1^2 }{b^2}$$
$$  \left( \sqrt { 1-\left( \frac xa\right) ^2 } +\frac {y_m}b \right)^2=  \left(\frac{  x - x_m }{b} \right)^2-\left( \frac{ r_1 }{b} \right)^2$$


Hallo pleindespoir,

Umstellung exemplarisch  mit Gleichung I:

Die Gleichung soll nach x umgestellt werden und dies dann
in Gleichung 2 eingesetzt werden.

Dasselbe mit Gleichung 3 und 4, sodass nur noch 2 Gleichungen
mit den Unbekannten xm und ym übrigbleiben.

Es entstehen 2 Gleichungen mit den Unbekannten  xm, ym
Diese dann entsprechend umstellen

---

das x in der 1. und 2. Gleichung ist derselbe Wert
das x in der 3. und 4. Gleichung ist derselbe Wert

---

Ich habe in der 3. und 4.Gleichung x durch y ersetzt
Damit ist es mathematisch korrekt.

---

Bilden also nur jeweils 2 Gleichungen jeweils ein System und nicht alle 4 gemeinsam eines?

I:$$ -\frac{ b \cdot \sqrt { a^2-x^2 } } a = y_m + \sqrt{r_1^2 - ( x - x_m )^2}$$
I:$$ -\frac{ b \cdot \sqrt { a^2-x^2 } } a -y_m = \sqrt{r_1^2 - ( x - x_m )^2}$$
I:$$ \frac{ b \cdot \sqrt { a^2-x^2 } } a +y_m = - \sqrt{r_1^2 - ( x - x_m )^2}$$--- $$$$
II:$$ \frac{ b \cdot x}{a \cdot \sqrt { a^2-x^2  } }  = - \frac{ x - x_m }{\sqrt{r_1^2 - ( x - x_m )^2} }$$

II:$$ \frac{a \cdot \sqrt { a^2-x^2  } } { b \cdot x} = - \frac{\sqrt{r_1^2 - ( x - x_m )^2} }{ x - x_m }$$

II:$$ \frac{a \cdot \sqrt { a^2-x^2  } } { b \cdot x} \cdot ( x - x_m ) = - \sqrt{r_1^2 - ( x - x_m )^2} $$

Gleichsetzung der rechten Seiten:
$$ \frac{ b \cdot \sqrt { a^2-x^2 } } a +y_m =\frac{a \cdot \sqrt { a^2-x^2  } } { b \cdot x} \cdot ( x - x_m )$$

Wir haben aber noch 3 Unbekannte : x , xm, ym
Das x muß weg.

$$  \left( \sqrt { 1-\left( \frac xa\right) ^2 } +\frac {y_m}b \right)^2  + \left( \frac{ r_1 }{b} \right)^2 =  \left(\frac{  x - x_m }{b} \right)^2$$

Geometrisch ist das ein rechtwinkliges Dreieck, bei dem eine Kathete mittelbar durch eine Kreisfunktion von x abhängig ist und die Hypotenuse ist in einer Geradengleichung von x abhängig.

Die Variable x ist mit an Wahrscheinlichkeit grenzender Sicherheit nicht eliminierbar.

Ein anderes Problem?

Stell deine Frage

Willkommen bei der Mathelounge! Stell deine Frage einfach und kostenlos

x
Made by a lovely community