
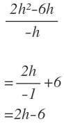
hier hast du eine Überlegung gemacht am Schluss, die du wahrscheinlich woanders schonmal gemacht hast denn: wenn -2h+6=0 kann man gut mit -1 multiplizieren, aber da du hier keine Gleichung hast darfst du nicht mit -1 multiplizieren und somit die Operationennicht austauschen.