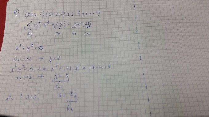
Wir sollen z bestimmen sodass, $$Z*\bar { Z } +3(Z-\bar { Z } )=\quad 13+12i$$

Unser Tutor hat folgenden Rechenweg gewählt der auf dem Bild ist.
1. wie kommt er auf
$$(x+y*i)(x-y*i)+3*(x+y*i)$$
2. Wie kommt man auf
$${ x }^{ 2 }+{ y }^{ 2 }*{ y }^{ 2 }+6yi$$