+1 Daumen
1,2k Aufrufe

Bild Mathematik Ich versuche seit 3 Stunden diese Aufgabe zu lösen :( kann mir Vlt jemand behilflich sein. Ich habe eine umkehrfunktion berechnet aber die erscheint mir falsch.

Avatar von

Bild Mathematik Meine Erarbeitung

1 Antwort

0 Daumen

Du hast richtig gerechnet, bis auf kleine Besonderheiten bei negativen Wurzeln, die man per abs- & sgn- & min Funktion (Betrag & Vorzeichen & Minimum) leicht beheben kann.

Bei http://www.gerdlamprecht.de/Liniendiagramm_Scientific_plotter.htm

sieht die Formel mit Fallunterscheidung aB[0]<1? Originalfunktion(x) : Umkehrfunktion(x) so aus:

aB[0]<1?-pow(x,3)/sqrt(pow(x,6)+3):pow(3,1/6)*pow(abs(x),1/3)/pow(1-min(x*x,0.9999),1/6)*sgn(-x)

Bild Mathematik

Avatar von 5,7 k

Und wie lautet die richtige umkehrfunktion nun?

Hast Du wirklich so viel Probleme zu erkennen, dass

pow(3,1/6)*pow(abs(x),1/3)/pow(1-min(x*x,0.9999),1/6)*sgn(-x) identisch ist mit

Bild Mathematik  ????

Das ist für Programme, die negative Wurzeln und Polstellen nicht mögen.

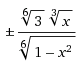
Für Deinen Lehrer reicht es, wenn Du

Bild Mathematik  ; -1 < x < 1

angibst mit der Fallunterscheidung, wann Vorzeichen  positiv und wann negativ. 

Ein anderes Problem?

Stell deine Frage

Willkommen bei der Mathelounge! Stell deine Frage einfach und kostenlos

x
Made by a lovely community