!
Ich habe hier eine Aufgabe, von der ich nicht weiss, wie ich sie anpacken soll.
Es ist eine Altklausuraufgabe.
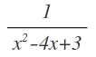
"Bestimmen Sie die Taylorreihe von

um den x0= 2 und geben sie den Konvergenzradius an"
Mir ist klar, dass ich diese Formel bis zu 4x Ableiten müsste, um am Ende an eine Reihe zu kommen.
Meine Fragen:
> MUSS ich sie wirklich 4x ableiten (oder wie oft?) oder gibt es da einen schnelleren Weg um solche Aufgaben zu bearbeiten?
> Muss das Endergebnis immer mit einem Summenzeichen angegeben werden?
Oder genügt hier auch eine gewisse Anzahl von Polynomen, je nach dem wie oft abgeleitet wurde?
> Wie sieht ein Konvergenzradius bei solch einer Aufgabe aus?