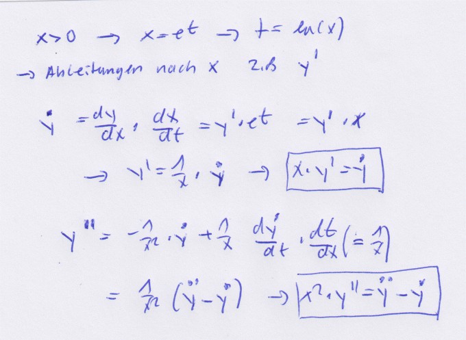
x2 y'' - 3xy' + 7y = 0 x>0

daraus folgt:
x^2 y''= y'' -y'
x*y'= y'
eingesetzt:
y'' -y' -3y' +7y=0
y'' -4y' +7y =0
--------<charakt. Gleichung:
k^2 -4k +7=0
k_1.2= 2± i√ 3
y(t)= C_1 x^{2 +i√3} +C_2 x^{2 -i√3}
Rücktransformation rechnerisch oder aus der Tabelle:
Lösung:
y= C_1 x^2 *cos(√3 *ln(x)) +C_2 x^2 *sin(√3 *ln(x))