Ich bin gerade am Lösen des folgendem Integrals:
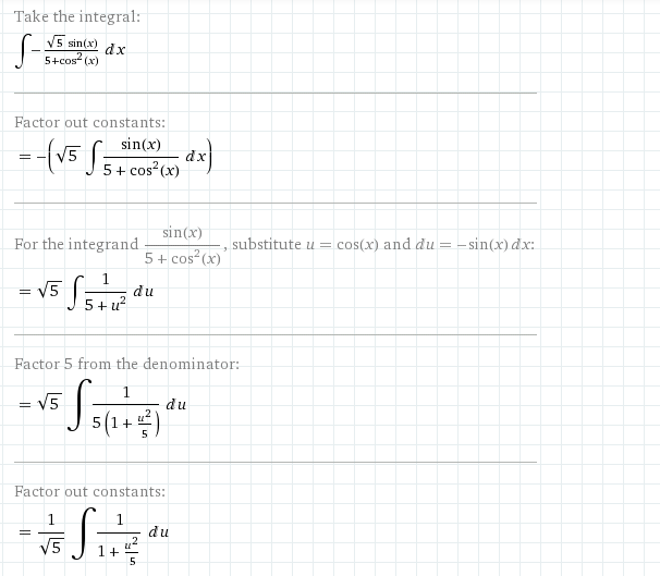
\( \int \frac{-\sqrt{5} \sin (x)}{5+(\cos (x))^{2}} \mathrm{~d} x=\left[\arctan \left(\frac{\cos (x)}{\sqrt{5}}\right)\right] \)
Doch komme ich nicht auf die Lösung.
Wolfram Alpha substituiert 2 mal. Beim nächsten Bild komme ich nicht ganz klar wie man auf 1/sqrt(5) (vom 4. zum 5. Schritt) kommt. Kann mir das jemand erklären??

Danach ist es eigentlich soweit wieder klar.
Gäbe es auch noch eine einfachere Möglichkeit zu integrieren?
