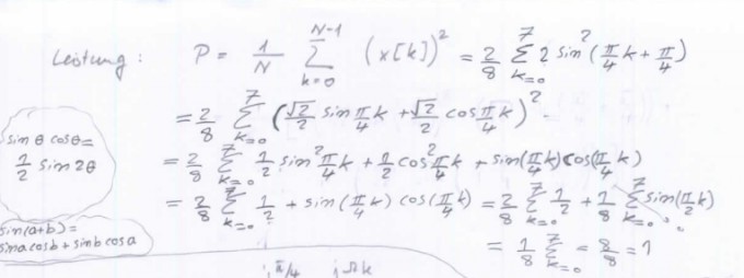
Habe starke probleme beim lösen dieses additionstheorems undzwar ab Zeile 3.(eingeschlossen 3)
Ich weiss dass man das additionstheorem sin(a+b)=sin(a)*cos(b)+sin(b)*cos(a) verwenden muss jedoch kriege ich es nicht hin. Habe die Lösungen zwar aber genauen rechenschritte nicht. 