aus folgender Aufgabenstellung werde ich nicht so ganz schlau bzw. komme ich nicht weiter:

Es scheitert bereits bei der Grenzfindung.
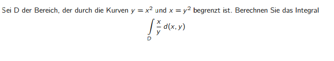
Schaue ich mir die Graphen für y=x^2 und x=y^2 an, so schneiden sich diese in (0,0) und (1,1)
Wären dann die Grenzen jeweils sowohl für dx als auch dy 0 (untere Grenze) bis 1 (obere Grenze) und das ganze läuft auf ein uneigentliches Integral hinaus?