Hallo: ) eine Aufgabe:
---------------------------------------------------------------------------------------
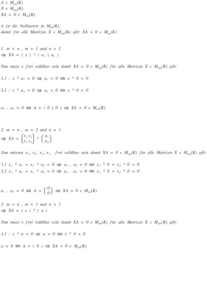
A ∈ M(mn) (K)
Beweisen Sie, dass A die Nullmatrix ist damit für alle X ∈ M(mm) (K) gilt:
XA = 0 ∈ M(mn) (K)
--------------------------------------------------------------------------------------
Kann ich das so lassen und gibt es vielleicht noch einen kürzeren weg ? danke : )
-------------------------------------------------------------------------------------
....es soll bei 1. heißen 1,1 und 1,2 (matrixpositionen)
-------------------------------------------------------------------------------
