a) D(x/y/z). Rechne:

Koordinatengleichungen
1 = 2-x
0 = 1-y
0 = -1-z
x=1, y=1, z = -1 D(1/1/-1)
b) Berechne die Länge der Seiten a und b. Sind beide gleich lang, ist es eine Raute.
Wurzelzeichen kann man links und rechts gleich weglassen.
12 + 02 + 02 =? = 02 + 02 + 22 Falsch!
Also: Keine Raute!
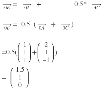
c) 2 Rechenwege möglich zum Mittelpunkt einer Diagonalen und somit zu E:

E(1.5/1/0)
d) Geht nicht! Mit dem Strahlensatz kann man zeigen, dass sie sich in E schneiden. Die Behauptung ist somit falsch!
Mach dazu eine 2-dim. Skizze einfach nicht gerade mit einer Raute.
Rechnerisch kommt das auch so raus
Berechnung der 4 Seitenmittelpunkte wie in c)
A(1| 1| 1), B(2| 1| 1)und C(2| 1|-1) D(1/1/-1)
Ma = (1.5|1|1), Mb = (2/1/0), Mc = (1.5|1|-1), Md = (1/1/0)
Mitte von Ma und Mc F (1.5/ 1/0)
Mitte von Mb und Md ebenfalls F (1.5/ 1/0)