hallo
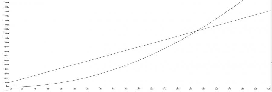
s(t) des temposünders:
s(t) = 40m/s * t + 100m
hier wurde von km/h in m/s umgerechnet.
1 m/s = 3.6 km/h
1 km/h = 1/3.6 m/s
also 144 km/h = 144/3.6 m/s = 40 m/s
s(t) des polizeiwagens:
s(t) = 3/2 m/s² * t²

durch gleichsetzen beider funktionen kann man
die zeit berechnen, wann der temposünder eingeholt wird.
40 * t + 100 = 3/2 * t²
alles rüber auf die linke seite der gleichung
und vorbereitung für die pq-formel
3/2 t² - 40t - 100 = 0 | *2/3
t² - 80/3 - 200/3 = 0
anwendung der pq formel
t1,2 = 40/3 ± √(40²/3² + 200/3)
t1,2 = 40/3 ± √(40²/3² + 200*3/3²)
t1,2 = 40/3 ± √(2200/9)
t1,2 = 40/3 ± 46,92/2
t1 ≈ 28.97
den anderen wert t2 können wir vergessen, weil
er negativ ist und für unsere aufgabe keinen sinn macht.
nach t = 28,97 sekunden hat der polizeiwagen das auto eingeholt.
in dieser zeit legen beide fahrzeuge eine strecke von
s = 40m/s * 28,97 = 1158,7 m zurück.
gruß
gorgar