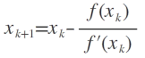
Das Newton-Verfahren zur numerischen Bestimmung einer Nullstelle einer Funktion f lautet

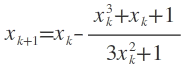
Ist f(x) = x3 + x + 1, so ist f'(x) = 3x2 + 1. Dann lautet die Rekursion

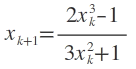
oder etwas zusammengefasst

Starte z.B. mit x0 = 0. Die Rekursion ergibt mit meinem TR nach 5 Schritten
x5 = -0.6823278.
Danach gibt es keine Änderung mehr.
Zum zweiten Teil setze f(x) = x2 - 5. Dann ist f'(x) = 2x. Wähle z.B. x0 = 2 und verfahre wie beschrieben.