Ich möchte mal eine nützliche Notation einführen: ich nenne die weißen Flächenstücken w, die grauen Außenstücke g und das Mittelstück m.
Jetzt muss man versuchen, ein Gleichungssystem mit möglichst vielen linear unabhängigen Informationen zu gewinnen, um daraus schließlich soviele Variablen zu eliminieren, dass man wenigstens eins der Flächenstücke wirklich ausrechnen kann.
Ein Viertelkreis hat die Fläche πr²/4 = π, also gilt:
π = m + 3g + 2w
Die ganze Fläche hat den Flächeninhalt 4:
4 = m+4g + 4w
Daraus lässt sich wenn man zwei Viertelkreise minus die ganze Fläche rechnet gewinnen:
2π-4 = m+2g
was Akelei schon ausgerechnet hat.
Alternativ kann man auch noch ausrechnen, wie man die anderen Variablen aus den ersten beiden Gleichungen eliminiert, das gibt aber keine weiteren Informationen!
4-π = g+2w (das ist die Komplementärfläche eines Kreisviertels)
4π-12 = m-4w
Ich bin der Meinung, dass es mit einfachen Mitteln keine Möglichkeit gibt, noch mehr Informationen zu finden.
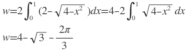
Man kann aber zum Beispiel die weiße Fläche mit Hilfe eines Integrals ausrechnen:
Und zwar folgendermaßen:

Das zweite Integral kann man durch partielle Integration und danach Substitution mit nem Sinus ausrechnen, will ich aber nicht machen, weil das vermutlich sowieso nicht die Lösung ist, die du suchst.
Zumindest kann man damit jetzt die gesuchte Größe ausrechnen, weil ja:
x = m+4g = 4-4w = 4√3+8π/3 - 12 ≈ 3.306
Wie man das mit einfachen Mitteln ausrechnen soll weiß ich nicht. Zumal da ja irgendwie die √3 reinkommen muss und ich sehe nicht wirklich, wo die herkommen soll.