Ich habe mit der Klausurvorbereitung in Mathe begonnen. Natürlich habe ich mir direkt fleißig Altklausuren angeschaut :-) Jedoch habe ich folgende Aufgabe nicht richtig errechnen können, weil ich das Taylor-Polynom noch nicht richtig kenne. Bis zum letzten Schritt sind alle Werte richtig aber der letzte ist ungenau und würde in der Klausur zu Punktabzug führen. Die Nachkommastellen kriege ich nie richtig berechnet irgendwas mache ich falsch. Nun die Aufgabenstellung:
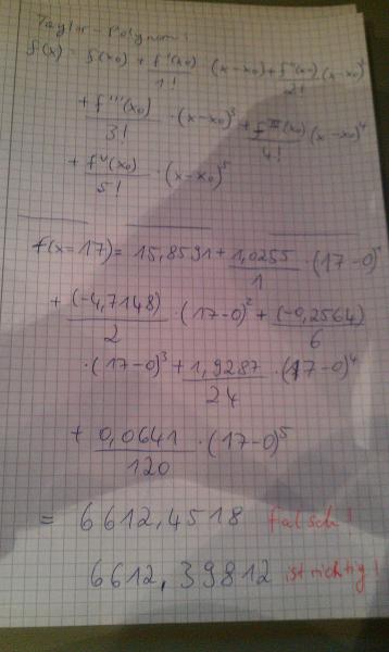
Bestimmen Sie den Wert des Taylorpolynoms Tf fünfter Ordnung mit dem Entwicklungspunkt x0=0 an der Stelle x1=17 . Rechnen Sie bei jeder Aufgabe mit mindestens 4 (vier) Nachkommastellen.
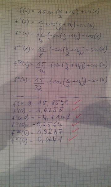
f(x)= 15*sin(x/2+14)+cos(x)
Meine Rechenschritte sind als Bild zu sehen.
MfG

