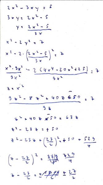
ich habe die erste Gleichung nach y umgestellt und
dann den Term in die zweite Gleichung eingesetzt.
Die 2.Gleichung hat dann nur noch 1 Unbekannte x
welche berechnet werden kann.
Lösungen x = 5 und y = 3 sowie
x = -5 und y = -3.
Hier zur Abschreckung die Berechnungen.


Bei Fehlern oder Fragen wieder melden.
mfg Georg