Da hast du dich wohl verrechnet. Die konstanten Glieder müssen sich zwangsläufig wegheben, weil sie in beiden Termen vorkommen.
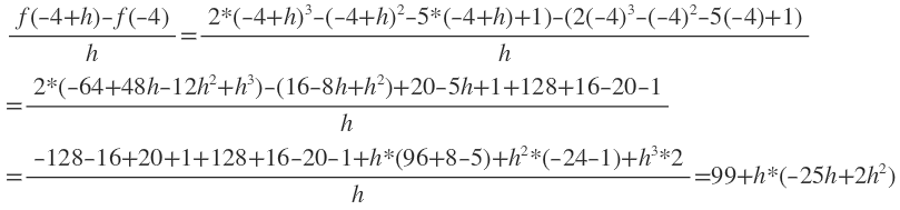
Ich rechne mal von Anfang an:
$$ \frac { f ( - 4 + h ) - f ( - 4 ) } { h } = \frac { 2 · ( - 4 + h ) ^ { 3 } - ( - 4 + h ) ^ { 2 } - 5 · ( - 4 + h ) + 1 ) - \left( 2 ( - 4 ) ^ { 3 } - ( - 4 ) ^ { 2 } - 5 ( - 4 ) + 1 \right) } { h } \\ = \frac { 2 · \left( - 64 + 48 h - 12 h ^ { 2 } + h ^ { 3 } \right) - \left( 16 - 8 h + h ^ { 2 } \right) + 20 - 5 h + 1 + 128 + 16 - 20 - 1 } { h } \\ = \frac { - 128 - 16 + 20 + 1 + 128 + 16 - 20 - 1 + h · ( 96 + 8 - 5 ) + h ^ { 2 } · ( - 24 - 1 ) + h ^ { 3 } · 2 } { h } \\ = 99 + h · \left( - 25 h + 2 h ^ { 2 } \right) $$
Als Grafik:

Im Grenzwert verschwinden jetzt die Terme, die noch h beinhalten und übrig bleibt
f'(-4) = 99
Ich habe auch gerade deinen Fehler gefunden: im Term, der aus f(-4) kommt hast du die 2 vor dem x³ vergessen.