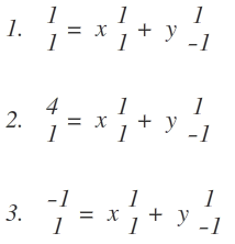
Bei der Bestimmung der Darstellungsmatrix R3->R2 komme ich bis zu folgendem Punkt:

(Die Klammern bitte vorstellen, hab ich nicht ganz hinbekommen).
Bei 1. sehe ich einfach, dass hier x=1 und y=0 sein muss. Bei den anderen bekomme ich das aber höchstens durch ausprobieren hin, was ja nicht so gut ist.
Kann mit daher bitte jemand für 2. recht ausführlich zeigen, wie man das nun umformen/ausrechen muss, um an x und y zu kommen? Dann könnte ich es bei 3. versuchen, ob ich es dann verstanden habe.