0 Daumen
1,8k Aufrufe

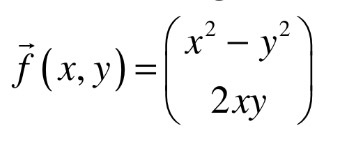
Also eine Funktion ist gegeben :

Bild Mathematik

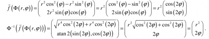
Und polarkoordinaten sei:

Bild Mathematik

Und die umkehrabbildung davon ist:

Bild Mathematik

Ich weiß eigentlich schon wie das geht, einfach nur einsetzen usw usw, aber müsterlösung scheint anders als meine Lösung


Meine Lösung:

Bild Mathematik


Müster Lösung:

Bild Mathematik


Warum bei der müsterlösung die r^2 nicht mit dabei bei der 2. Zeile von der umkehrabbildung ? Oder vielleicht die müsterlösung hat irgendwie vertippt und den r^2 vergessen?

Und wie geht es von atan2(sin(2φ),cos(2φ)) auf 2φ ?

Avatar von

1 Antwort

0 Daumen

Dein seltsamer Titel laesst vermuten, dass Du gar nicht verstanden hast, was hier gemacht wird: \(\vec{f}\) wird von kartesischen auf Polarkoordinaten umgestellt. Das ist eine nichtlineare Koordinatentransformation und hat mit Matrizen nichts zu tun.

Zur Frage: Wenn \((x,y)=r(\cos\phi,\sin\phi)\) ist, was ist denn dann \(\mathop{\mathrm{atan2}}(y,x)\)?

Avatar von

Ein anderes Problem?

Stell deine Frage

Willkommen bei der Mathelounge! Stell deine Frage einfach und kostenlos

x
Made by a lovely community