Die Geradengleichung ist ja immer g(x) = mx + b.
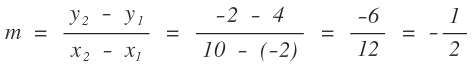
Zunächst mal rechnet man dann die Steigung m mithilfe der gegebenen Punkte aus:

Und dann braucht man nur noch den y-Achsenabschnitt b, wozu man einfach die Steigung und einen der beiden Punkte in die Geradengleichung einsetzt:
4 = -1/2 * (-2) + b
4 = 1 + b
3 = b
Also lautet deine Funktionsgleichung: g(x) = -1/2 x + 3