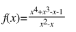
gegeben ist die Funktion:

Wenn ich hier Polynomdivison mache erhalte ich als asymptotische Kurve:
Um die möglichen Schnittpunkte der Funktion mit ihrer Asymptote zu berechnen muss ich doch f(x) mit Ya gleichsetzten, oder?
Dann erhalte ich Folgendes:
Lasse ich mir jedoch die Funktion und die Asymptote am Rechner grafisch anzeigen, schneidet die Funktion die asymptotische Kurve nicht.
Wo liegt der Fehler?