0 Daumen
1,1k Aufrufe

Könnt ihr mir bitte die unten angegebenen Aufgaben vorrechnen?

Der User Grosserloewe hat das z.B. super gemacht und die Zwischenschritte gut erklärt: https://www.mathelounge.de/280775/berechnen-sie-die-folgenden-uneigentlichen-integrale

Bild Mathematik

Avatar von

1 Antwort

0 Daumen

b) Substituiere z= ln (x)

dz/dx= 1/x

dx= x *dz

= ∫1/z dz

= ln|z| +C

= ln| ln|x|| +C

Wenn Du den Grenzübergang machst, siehst Du das das Integral nicht konvergiert.

Avatar von 121 k 🚀

Ist die Aufgabe b damit gelöst?

DU mußt noch schreiben:

=lim (N---->∞) (ln |ln | N ||  -ln|ln|e||)

ln |ln | N || ist nicht definiert (für N -->∞), damit konvergiert das Integral nicht

der 2. Ausdruck ist 0


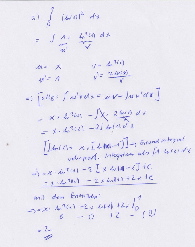
Aufgabe a)

Du schreibst den Integrand als  1 * ln^2(x) und integrierst 2 Mal partiell.

Ergebnis ist 2

Bild Mathematik

Vielen Dank für deine Mühe.

Ein anderes Problem?

Stell deine Frage

Willkommen bei der Mathelounge! Stell deine Frage einfach und kostenlos

x
Made by a lovely community