Wenn ich das richtig verstanden habe, kann ich die Potenzen zwischen Zähler und Nenner tauschen, wenn ich das Vorzeichen des Exponenten wechsele. Hierzu noch eine kurze Zwischenfrage:
Ist das korrekt? 2a-2 = 1 / 2a2
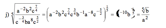
Nochmals zur eigentlichen Aufgabe. Durch das Hochziehen von a-2 verschwindet ja quasi der Nenner. Jedoch kann ich dann die Musterlösung zur Aufgabe nicht verstehen, da diese als Bruch dargestellt wird.
Hier mal die komplette Aufgabe mit Lösung.
