Eine Möglichkeit OHNE ABLEITUNG wäre folgende Berechnung.
Dazu wird die Tangente ermittelt, die die Parabel bei Punkt (0,5|1,25) berührt.
Ausgangsfunktionen:
T Ξ y = m * x + b (m und b der Tangente sind nicht bekannt)
P Ξ y = x² - 4x + 3
Gleichsetzen:
x² - 4x + 3 = m * x + b
x² - 4x - mx + 3 - b = 0
x² - (4 + m)x + (3 - b) = 0
pq-Formel anwenden:

Da es sich um eine Tangente mit einem Berührpunkt (0,5|1,25) handelt, kann jetzt x1, 2 = 0,5 gesetzt werden. Wir wissen, dass die Diskriminante der quadratischen Gleichung D = 0 ergeben muss.
Somit haben wir:
0,5 = (4 + m) / 2
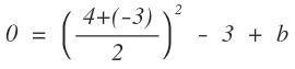
m = -3
Einsetzen von errechnetem m, um Diskriminante D = 0 zu errechnen:

b = + 2,75
Damit erhalten wir als Funktion der Tangente y = -3x + 2,75
Berechnung des Schnittwinkels:
arctan(-1) - arctan(-3) = 26,57°
oder
|arctan(-3)| - |arctan(-1)| = 26,57°