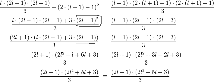
ich stehe irgendwie auf dem Schlauch und kann die folgende Termumformung nicht nachvollziehen.
Mir gehts um die (2l + 1)² wie im Bild unten markiert. Im nächsten Schritt fallen die ² plötzlich weg,
aber wieso? Ich verstehe nicht warum die hoch 2 einfach wegfallen - wäre super wenn mir das
jemand nachvollziehbar schildern könnte!

\( \begin{array}{ll}\frac{l \cdot(2 l-1) \cdot(2 l+1)}{3}+(2 \cdot(l+1)-1)^{2} & \frac{(l+1) \cdot(2 \cdot(l+1)-1) \cdot(2 \cdot(l+1)+1)}{3} \\ \left.\frac{l \cdot(2 l-1) \cdot(2 l+1)+3 \cdot\left((2 l+1)^{2}\right.}{3}\right] & \frac{(l+1) \cdot(2 l+1) \cdot(2 l+3)}{3} \\ \frac{(2 l+1) \cdot(l \cdot(2 l-1)+3 \cdot(2 l+1))}{3} & \frac{(l+1) \cdot(2 l+1) \cdot(2 l+3)}{3} \\ \frac{(2 l+1) \cdot\left(2 l^{2}-l+6 l+3\right)}{3} & \frac{(2 l+1) \cdot\left(2 l^{2}+3 l+2 l+3\right)}{3} \\ \frac{(2 l+1) \cdot\left(2 l^{2}+5 l+3\right)}{3} & =\frac{(2 l+1) \cdot\left(2 l^{2}+5 l+3\right)}{3}\end{array} \)