0 Daumen
568 Aufrufe

Bild Mathematik

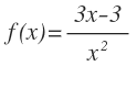
Hallo.  Ich möchte ermitteln,ob die Gleichung eine schräge,senkrechte oder waagrechte Asymptote hat.

Ich glaube,dass diese Gleichung eine waagrechte Asymptote hat bei der x-Achse,weil der Nennergrad größer als der Zählergrad hat.Außerdem glaube ich,dass es eine senkrechte Asymptote hat, durch x=0 bei der y-Achse, weil wenn man den Nenner,also x^2, gleich 0 setzt,für x 0 rauskommt.

Ist das richtig? Danke.

Avatar von

2 Antworten

0 Daumen

Du hast es auf den Punkt gebracht.

Es gibt auch noch eine senkrechte bei x=0.

Avatar von 289 k 🚀
0 Daumen

Richtig.

Die horizontale Asymptote hat die Gleichung y = 0 und die vertikale Asymptote hat die Gleichung x=0.

Avatar von 162 k 🚀

Ein anderes Problem?

Stell deine Frage

Willkommen bei der Mathelounge! Stell deine Frage einfach und kostenlos

x
Made by a lovely community