Die kann man ganz einfach ausrechnen, wobei man wissen muss, x-4=1/x4:

Hier verstehe ich jedoch nicht, wie du auf 2x/3 kommen sollst, denn man hat nirgends ein x als Zähler! Vielleicht hast du sie falsch abgeschrieben.
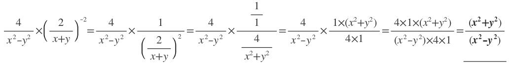
Zur zweiten Aufgabe:

Beim Doppelbruch hat man die Nenner vertauscht und diese dann mit dem Zähler malgenommen, und am Schluss wurde das 4 mal 1 weggekürzt.
Die zweite Lösung stimmt also.
 
Ich hoffe, ich habe geholfen.
Simon